火花机十大品牌

 首页 | 品牌专区 | 品牌招商 | 品牌资讯 | 品牌投票 | 关于我们
     
 位置:首页 > 行业资讯    

新型磁悬浮电火花,传统微细电火花加工,可行性分析

发布日期:2024年04月07日 11:15:03点击量:996


放电加工机(EDM)是加工钛合金和镍基合金等难切削材料,最流行、最合适的非常规加工技术,尽管高温合金在先进领域很有用,但其低导热性和高强度使其难以切割,并通过传统的机械加工方法加工此类材料几乎是不可能的,或者在经济上不值得。

由于电火花加工的实用性,该工艺已扩展到微观层面,即微细电火花加工,显微电火花加工已成为在硬质材料中生产微观特征的有用技术,微细电火花加工与传统电火花加工的不同之处在于电极工具的尺寸、能量脉冲的低振幅、和高分辨率以实现精细精加工。

脉冲发生器产生几微秒或纳秒的微EDM微小脉冲,结果,去除了少量工件材料,范围为0.05至500μm,因为能量范围较低,为10 -9至10 -5J,通过微细电火花加工难加工材料,例如钛合金,存在材料去除率(MRR)较低、刀具尺寸较高等问题。

而磨损、重铸层的产生以及碎片冲洗不当,一般来说,微细电火花加工的材料去除率(MRR)在0.6mm3/h至6.0mm3/h范围内,具体取决于工艺,然而,如此低的材料去除率并不经济;通过修改微电火花加工系统来提高性能是一个研究范围。

电火花加工是一种成熟的加工技术,尽管性能的增强仍然值得怀疑,它对许多输入参数的依赖使得过程具有随机性,而通过冲走碎片来提高MRR,研究人员通过开发磁辅助技术来比较加工特性。

在一项研究中,通过观察电流和电压波形来分析磁力辅助的效果,发现磁场有助于提高EDM工艺的能力,通过采用不同的冲洗方法进一步增强磁场辅助,从而在传统EDM中实现更高的MRR。

要知道尺寸限制和易碎的刀具材料,限制了微细电火花加工中的外围冲洗,并还观察到磁辅助仅对较高的MRR有利,对表面粗糙度没有显着影响,另一方面,磁辅助通过增加变形来增加刀具磨损率(TWR)。

其实MRR不仅仅是EDM的单一工艺输出;TWR和表面粗糙度(SR)等参数也说明了微细电火花加工的能力,与传统电火花加工类似,微细电火花加工的性能也可以通过输出响应来评估,该输出响应主要与输入工艺参数相关,输入参数包括放电电流、放电电压、脉冲开启时间、脉冲关闭时间、占空因数、介电介质以及工具和工件之间的电极间隙。

而它影响整体工艺效率,电火花加工早期采用的是弛豫型脉冲发生器,电容放电,松弛型脉冲发生器的应用常见于电火花线切割(WEDM),这种类型的脉冲发生器在很短的时间内提供了高峰值电流,这是获得更高MRR的有利条件。

随后,弛豫型发生器被晶体管型发生器取代,并改进了功率晶体管,晶体管型发电机适用于需要大电流和高响应的情况,然而,松弛型发生器仍在微细电火花加工和线切割加工中使用,弛豫型发生器能够产生具有恒定能量脉冲的短脉冲,尽管电容充电所花费的时间是弛豫发生器的缺点。

随着时间的推移,发明人已经开发出了脉冲发生装置和工具,尽管它们都没有为该过程提供足够的效率,由于观察到脉冲持续时间的增加在一定程度上改善了MRR,因此较长的脉冲会由于等离子体强度的降低而降低MRR7。

一般来说,微细电火花加工工艺中使用RC型电源,RC电源必须持续伺服系统的上下运动,以帮助电容器的充电和放电,这种运动减少了材料去除,因此引入了另一个振动致动器,引入了振动工具来辅助平台的上下运动,这有助于改善充电-放电循环,从而提高MRR11。

张等人介绍了振动工具电极的高级版本,使用磁力执行器开发了一种改进的系统,磁致动器悬浮在磁力听力上,运动由音圈电磁体控制,PID(比例积分微分)控制器用于控制工具电极尖端的振动幅度非常低(大约2毫米)。

不仅如此,脉冲电源电路和伺服机构增加了系统的复杂性,导致电火花加工的维护成本和能源较高,尽管张提出的磁悬浮执行器,在现有的EDM中成功实施,但所提出的磁悬浮EDM与该系统不同。

其所提出的系统不需要EDM机器,使得进入电磁体的电流将由电极间隙控制,它是一个自适应系统,因此可以使用直流电源代替RC电源或脉冲电源进行EDM,为了验证系统的结果和可行性,进行了一系列实验。

关于电火花加工工作原理,电火花加工是基于两个电极(即切削工具和工件)之间产生电势差,在通过两个电极之间连续地再次出现的电火花而腐蚀的EDM工件材料中,切削工具充当阴极并且工件充当阳极,介电介质煤油或去离子水用于实现电极之间的放电、碎片的正确冲洗以及通过极高温度避免热应力。

而在此过程中,向电极提供适当范围的电压,刀具和工件之间的狭窄间隙通常为0.005–0.05mm,由伺服机构维持,由于在电极之间的狭窄间隙中建立了电场,自由电子受到静电力的作用并开始通过介电介质从阴极(工具)移动到阳极(工件)。

这些自由电子获得能量并撞击介电流体中的分子,这种影响导致介电流体电离,当电离达到峰值时,会产生尖锐的等离子体通道,其电阻非常低,因此,大量电子与正离子碰撞,这种现象会产生大量的局部高温。

除此之外,其还通过强烈的局部热量,材料开始从工件和工具上蒸发和熔化,所以在刀具和工件之间没有物理接触的情况下,在工件上以空腔的形式产生切削刀具的负面印象,由于电火花加工中发生工件的无接触金属去除。

而且该过程被认为是振动颤振和无机械应力加工技术之一,在电火花加工过程中,工具和工件之间的温度主要是电源和电极之间狭窄间隙的函数,因此,EDM性能主要取决于这些重要因素。

电火花加工中的影响参数可分为两类:电气参数,如放电电流、放电电压和脉冲时间;以及非电气参数,如电极间隙、冲洗介质和刀具寿命,研究人员对电火花加工进行了全方位的研究,并规定管理所有影响参数以提高加工效率。

他们提出了各种技术,例如超声波振动、干式电火花加工和粉末电火花加工,在传统的EDM中,每个工艺参数都经过精确控制,以获得最佳响应输出,在EDM中,脉冲的产生和持续时间由功率调节装置继续。

每个能量脉冲可分为三个连续区域:电离区、放电区和短路区,加工过程中,电介质液发生第一次电离,有利于提高放电能量;因此,在第二放电区域中产生用于材料去除的高要求的火花,第三次短路是不需要的区域。

在加工时需要通过中断电源一小段时间然后接通电源以获得另一个稳定的火花来避免,短路现象对电火花加工表面质量有害;因此,在目前的工作中,通过采用新型电火花加工技术,它已在很大程度上被消除。

值得一提的是,直流电源并联连接到电磁体和电极,该磁场在可移动永磁体(连接到工具)上产生排斥力,导致电极工具朝工件电极移动,工具的这种移动减小了电极之间的间隙,并且在电极之间的阈值间隙之后,发生电离,随后发生放电。

其实放电降低了电极之间的电压,并且由于电极与电磁体并联连接,电磁体两端的电压降低,结果,电磁体的强度降低,同时,另一对永磁体之间的距离减小,恢复斥力增大。

而在加工开始时,当电极工具位于原始位置时,工具和工件之间存在极大的间隙,当向系统施加电压时,电磁体具有最大电压,并且电磁体和可移动磁体之间的距离最小,因此,排斥力处于最高值。

另外放电电压和电流特性,对于电极之间形成所需的适当火花,起着至关重要的作用,一般来说,在电火花加工过程中,可以有五种不同类型/条件的脉冲,这些都是基于输入过程变量,在第一种类型中,开路电压是电压最大且电流为零的情况,这种情况是不去除加工材料的理想状态。

而下一个条件是火花或正常火花条件有足够的能力,执行利用电极之间的高电流幅度的适当加工,正常火花为下一个脉冲的液体介质,介电强度的击穿和恢复提供适当的延迟,过渡电弧或稳定电弧是一种常见现象,只不过稳定电弧没有过渡电弧那样的高频分量。

然而,稳定电弧与正常放电不同,并且与正常放电相比具有非常弱的高频信号,在最后一种可能的现象中,短路是间隙电压几乎为零且电流幅值最高的状态,发生短路的原因有多种,例如电极间隙之间形成的碎片、极小的电极间隙或电极的物理接触24.短路会影响工艺稳定性并导致较低的MRR和低质量的加工表面。

对电压-电流波形的进一步研究发现,电弧放电是电火花加工和微细电火花加工中另一种对表面质量有害的现象,电弧是在此过程中热能不受控制的转换的结果,电弧放电是在达到开路电压之前电流的成功放电。

而在波形研究中,观察到当在电极之间施加电压时会发生点火延迟,并且电介质不会立即击穿,从而导致小的静态时滞,研究人员调查了点火延迟的扩散情况,并确定放电发生在激活时间28之后,为了获得稳定的火花,放电间隔应足够长,以分别产生和恢复适当的等离子体和介电强度。

除了放电间隔之外,电极间隙中的碎屑堵塞、电极几何形状和不适当的输入参数也会影响加工过程中的电弧和短路(这是最不希望出现的),稳定的放电能量是微细放电加工的首要要求。

要知道材料去除率MRR和TWR是加工过程中最重要的因素,随着时间的推移,这些因素只会影响制造企业的生产力,MRR是加工前后工件的重量差除以加工时间,同样,TWR是加工前后刀具重量的差值除以加工时间。

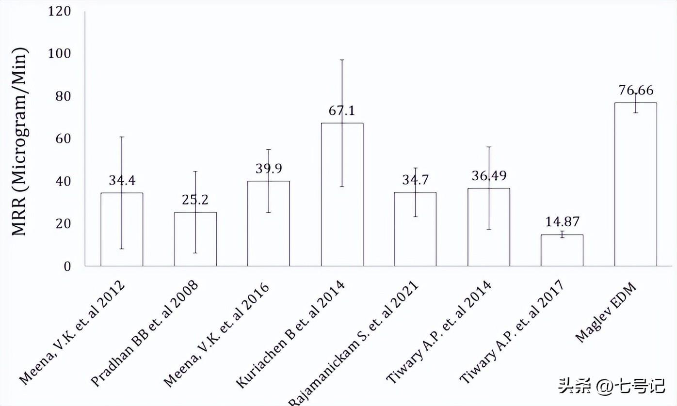
从任何加工操作的经济角度来看,MRR都是需要考虑的关键因素,同样,在电火花加工领域,尤其是难切削材料的加工中,MRR始终是研究人员首要关注的问题,从检查到当今时代,研究不断优化这种加工响应,许多研究人员建议这些工具和技术不时地增强EDM。

通过使用黄铜电极在CP-TI工件上进行实验探索了新型磁悬浮电火花加工,结果表明,磁悬浮电火花加工的熟练程度高于传统电火花加工,研究了材料去除率、比能和表面形态作为输出响应。

 
      
 
  火花机热水器品牌荣誉  
宗旨:客观、准确、专业、真实、权威、致力于消费者选择市场最信赖、最可靠的火花机十大品牌产品。
 
 
网站首页 | 联系我们 | 版权隐私 | 网站地图
工商总局 | 质检总局 | 3.15协会 | 卫生部 | 商务部 | 节能减排协会 | 中国家电协会
2009-2025 中国十大品牌网旗下网站—火花机十大品牌 如对火花机品牌排名有异议请联系邮箱:1603313587@qq.com 粤ICP备16109544号